помагите пожалуйста
Приложения:

miki68:
х=-3-у , 2*(-3-у)+у=0 , -6-2у+у=0 , у=-6 , х-6=-3 , х=3
Ответы
Ответ дал:
1
Ответ:
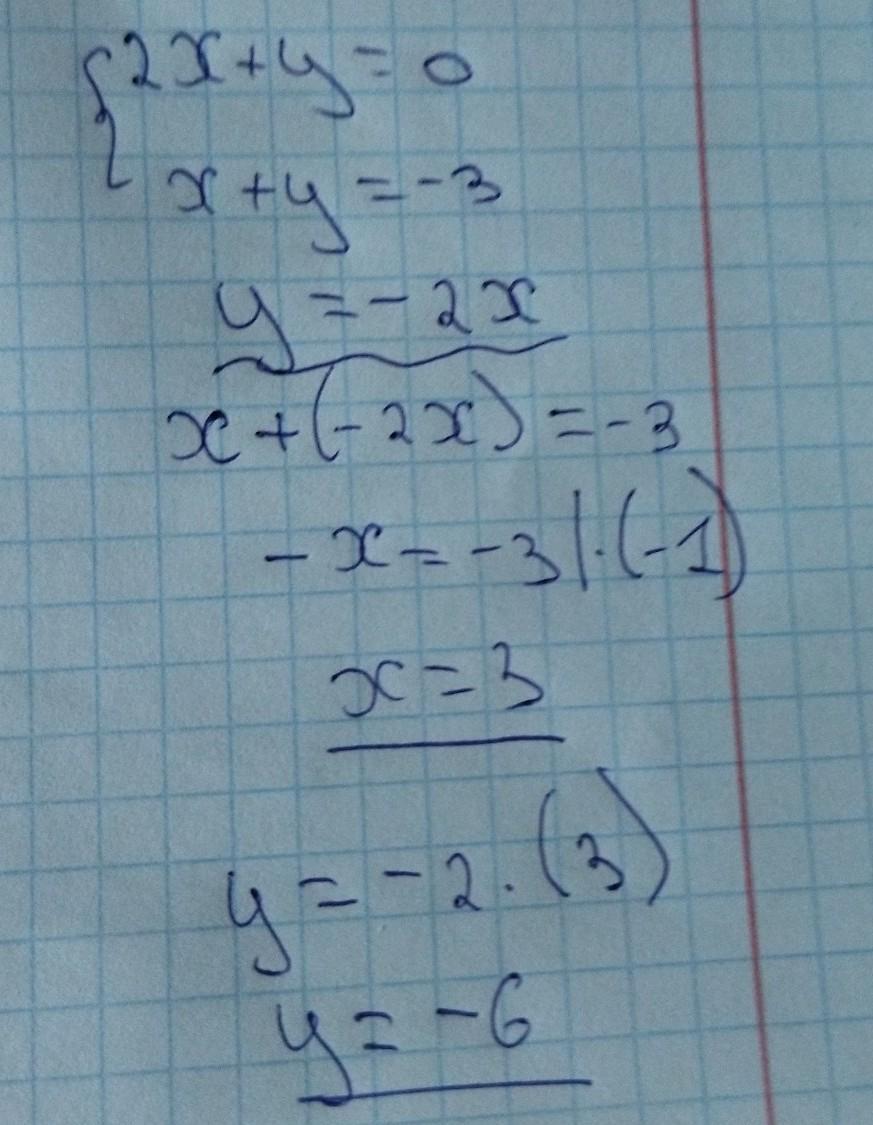
Вот, прошу. Метод подстановки
Приложения:

Ответ дал:
2
Ответ:
x = 3, y = -6.
Пошаговое объяснение:
Подставим x (-3-y) в первое уравнение:
Теперь осталось найти x.
Вас заинтересует
2 года назад
2 года назад
8 лет назад
8 лет назад
9 лет назад
9 лет назад