• Предмет: Математика
  • Автор: vovikgoodman
  • Вопрос задан 7 лет назад

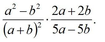
Выполните умножение дробей:
это варианты ответов:
2,5

0,4

1

-1

Приложения:

vovikgoodman: 2,5
0,4
1
-1
vovikgoodman: это варианты ответов

Ответы

Ответ дал: Lunixmolodoy
2

Ответ:

\displaystyle\frac{a^2-b^2}{(a+b)^2} *\frac{2a+2b}{5a-5b} =\frac{(a-b)(a+b)}{(a+b)^2} *\frac{2a+2b}{5a-5b}=\frac{1}{a+b} *\frac{2a+2b}{5} =\frac{2}{5} =0,4

Пошаговое объяснение:


zajnetdinovsultan3: как ты сократил (а-в) и (а+в)?
zajnetdinovsultan3: ответ то правильный, но решение увы нет
zajnetdinovsultan3: сначала раскрываем скобку (а²-в²) как (а-в)(а+в)
zajnetdinovsultan3: выносим 5 и 2 за скобки
zajnetdinovsultan3: и в итоге там всё сокращается
Lunixmolodoy: а вот так???
zajnetdinovsultan3: ДА
Lunixmolodoy: спс)
Lunixmolodoy: ладно, до встречи!
zajnetdinovsultan3: лан, давай
Ответ дал: iramazurk
1

Ответ:

Пошаговое объяснение:

(а²-b²)/(a+b)² * (2a+2b)/(5a-5b) =

(a-b)(a+b)/(a+b)² * 2(a+b)/5(a-b) =

1/a+b * 2(a+b)/5 =

1 * 2/5 = 2/5 = 0,4

Ответ: 0,4

Вас заинтересует