• Предмет: Геометрия
  • Автор: dinadolenko3
  • Вопрос задан 7 лет назад

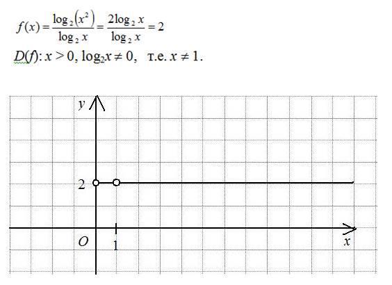
Побудуй графік функції f (x) =log2 (x^2)/ log2 (x)

Ответы

Ответ дал: Санечка69
1

См. решение на рисунке.

Приложения:
Вас заинтересует