• Предмет: Математика
  • Автор: romchiksedyh
  • Вопрос задан 7 лет назад

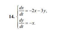
Методом исключения найти общее решение системы
дифференциальных уравнений

Приложения:

Ответы

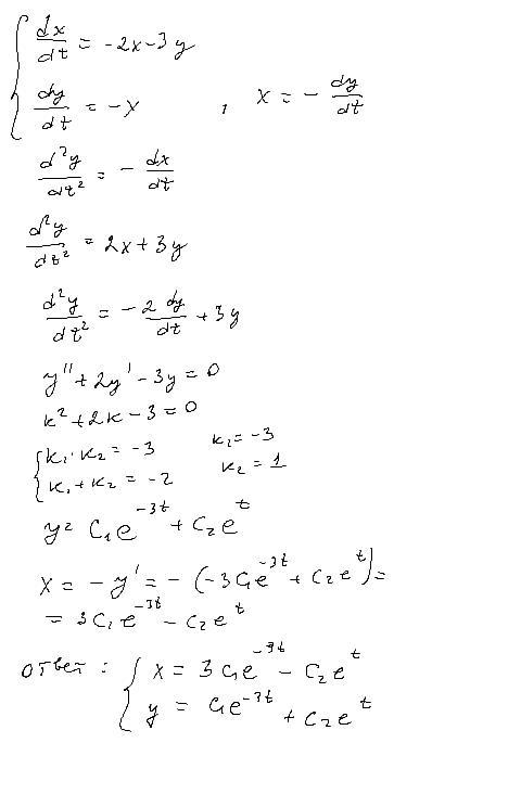
Ответ дал: dashulka22222
1

Ответ:

Пошаговое объяснение:

Приложения:
Вас заинтересует