• Предмет: Алгебра
  • Автор: Jajashows
  • Вопрос задан 7 лет назад

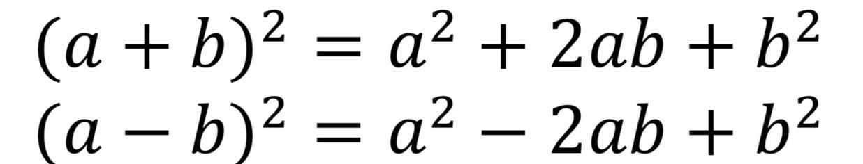
Решить по формуле:


(n+6)2; (13h+1)2; (4-3y)2; (2k-8)2; (3c+7d)2; (9a+t)2; (k-8)2; (5-7m)2; (13p-3)2; (2f-10a)2; (-3h+7)2; (-10x-y)2; (с-10)2; (11х+4)2; (6+2y)2; (4k-3)2; (3c+2d)2; (8х-3у)2; (3а-5в)2; (7с-2m)2; (в+8)2; (12h+2)2; (5-2y)2; (3k-4)2; (2c+5d)2; (8a+2t)2;

Приложения:

Ответы

Ответ дал: Аноним
2

(n+6)²=n²+12n+36;

(13h+1)²=169h²+26n+1;

(4-3y)²=16-24у+9у²;

(2k-8)²=4к²-32к+64;

(3c+7d)²=9с²+42сd+49d²;

(9a+t)²=81a²+18at+t²;

(k-8)²=k²-16k+64;

(5-7m)²=25-70m+m²;

(13p-3)²=169р²+9-78р;

(2f-10a)²=4f²-40af+100a²;

(-3h+7)²=49-42h+9h²;

(-10x-y)²=100x²+20xy+y²;

(с-10)²=c²-20c+100;

(11х+4)²=121x²+88x+16;

(6+2y)²=36+24y+4y²;

(4k-3)²=16k²-24k+9;

(3c+2d)²=9c²+4d²+12cd;

(8х-3у)²=64x²-48xy+9y²;

(3а-5b)²=9a²-30ab+25b²;

(7с-2m)²=49c²+4m²-28mc;

(b+8)²=b²+64+16b;

(12h+2)²=144h²+48h+4;

(5-2y)²=25-20у+4у²

Вас заинтересует