• Предмет: Алгебра
  • Автор: 55region
  • Вопрос задан 11 лет назад

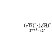
Как сделать проще?Смотрите фото

Приложения:

Ответы

Ответ дал: Mydrый
0
решениеееееееееееееееееееееееееееее
Приложения:
Ответ дал: 55region
0
ошибка! 2^n+2 это 2^2*2^n
Вас заинтересует