Ответы
Ответ дал:
0
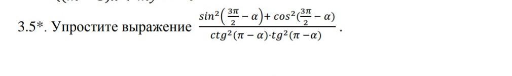
-cos^2 a-sin^2 a
————————-
ctg^2 a*tg^2 a
ctg a * tg a = 1
cos^2+sin^2=1
поэтому мы получаем -1
————————-
ctg^2 a*tg^2 a
ctg a * tg a = 1
cos^2+sin^2=1
поэтому мы получаем -1
Вас заинтересует
2 года назад
2 года назад
3 года назад
3 года назад
8 лет назад
8 лет назад
10 лет назад