Ответы
Ответ дал:
1
Ответ:
1)
2)
Пошаговое объяснение:
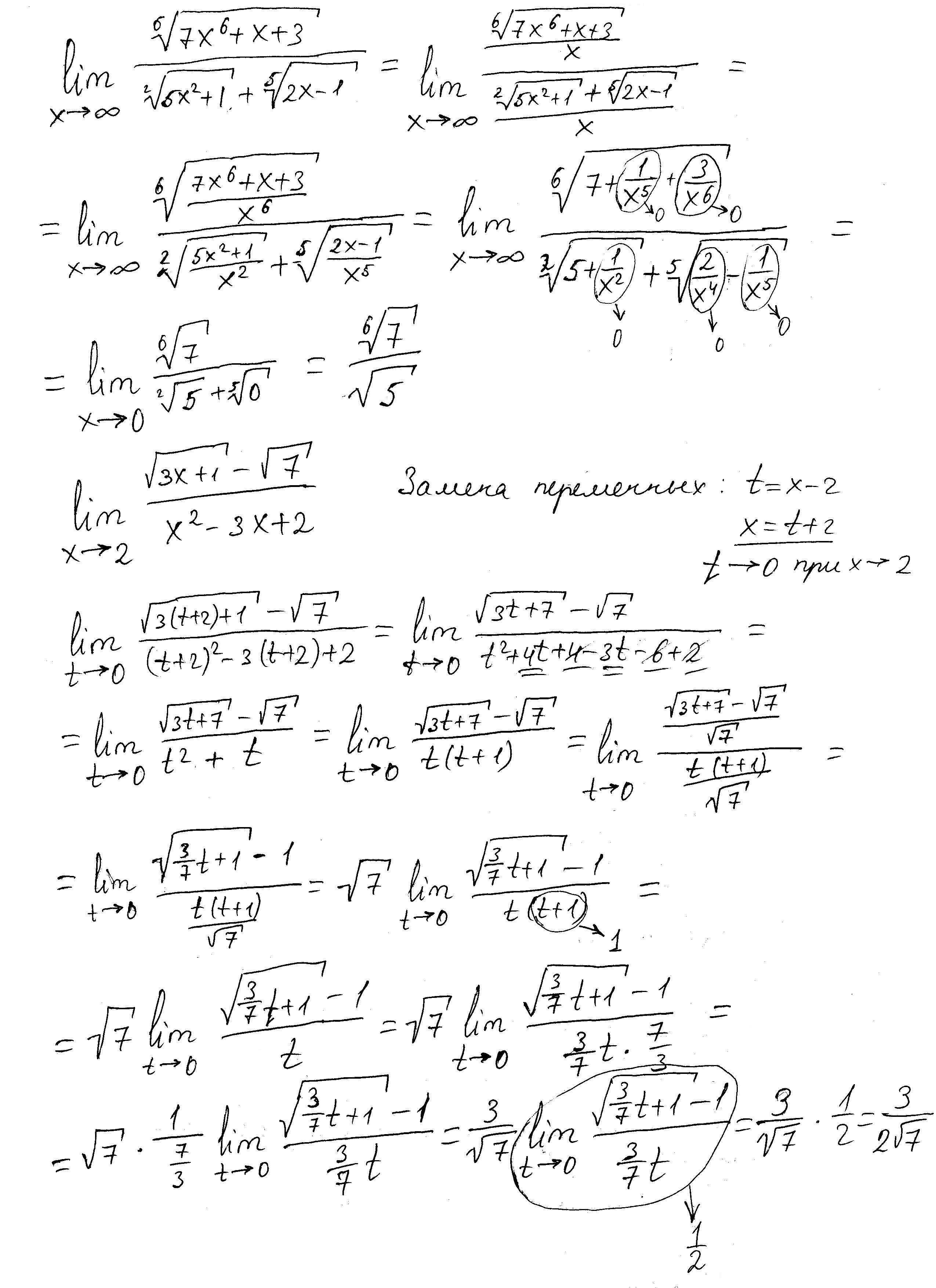
Решение в приложении
Приложения:

Вас заинтересует
2 года назад
2 года назад
2 года назад
2 года назад
8 лет назад
8 лет назад
9 лет назад
9 лет назад