Ответы
Ответ дал:
1
Ответ:
Пошаговое объяснение:
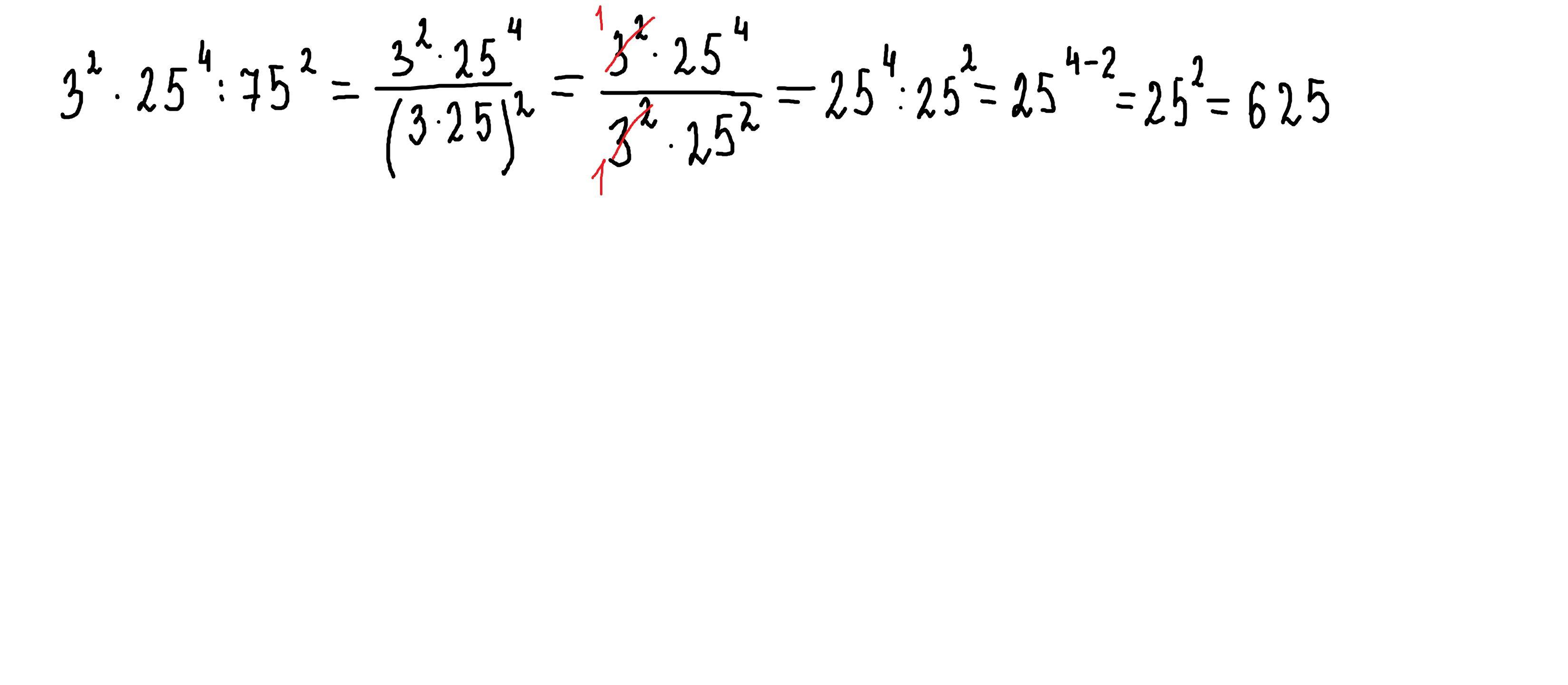
решение внизу
Приложения:

starflash169:
я также подумал но почему то не подходит
Вас заинтересует
2 года назад
2 года назад
2 года назад
8 лет назад
8 лет назад
9 лет назад
9 лет назад