1) Каков объём куба с вершиной в точке А(5; 2; -7) гранью, лежащей на поверхности 3x+6y-4z+1=0
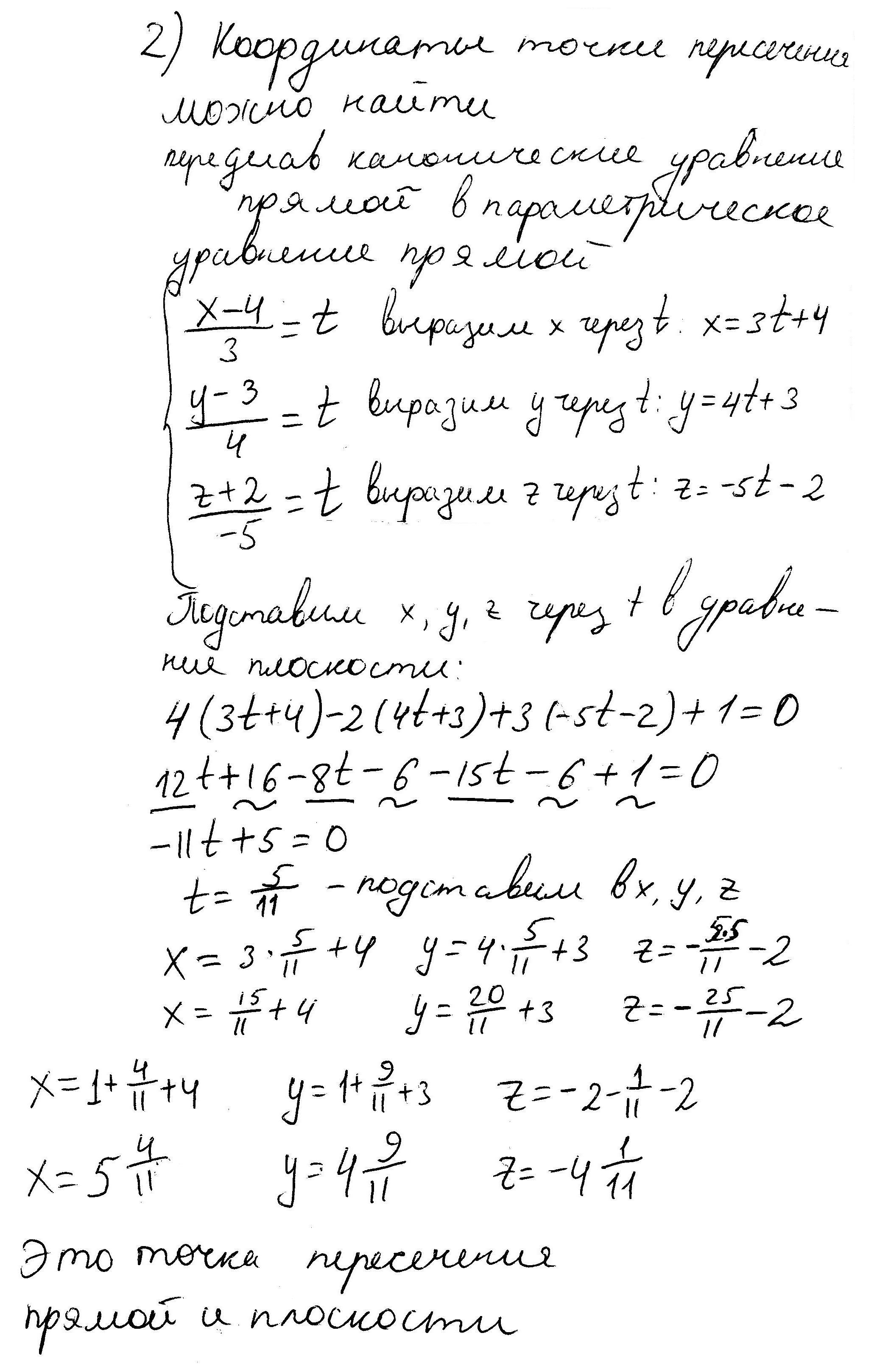
2) Найдите координаты точки пересечения прямой x-4/3=y-3/4=z+2/-5 (каноническое уравнение) и плоскости 4x-2y+3z+1=0
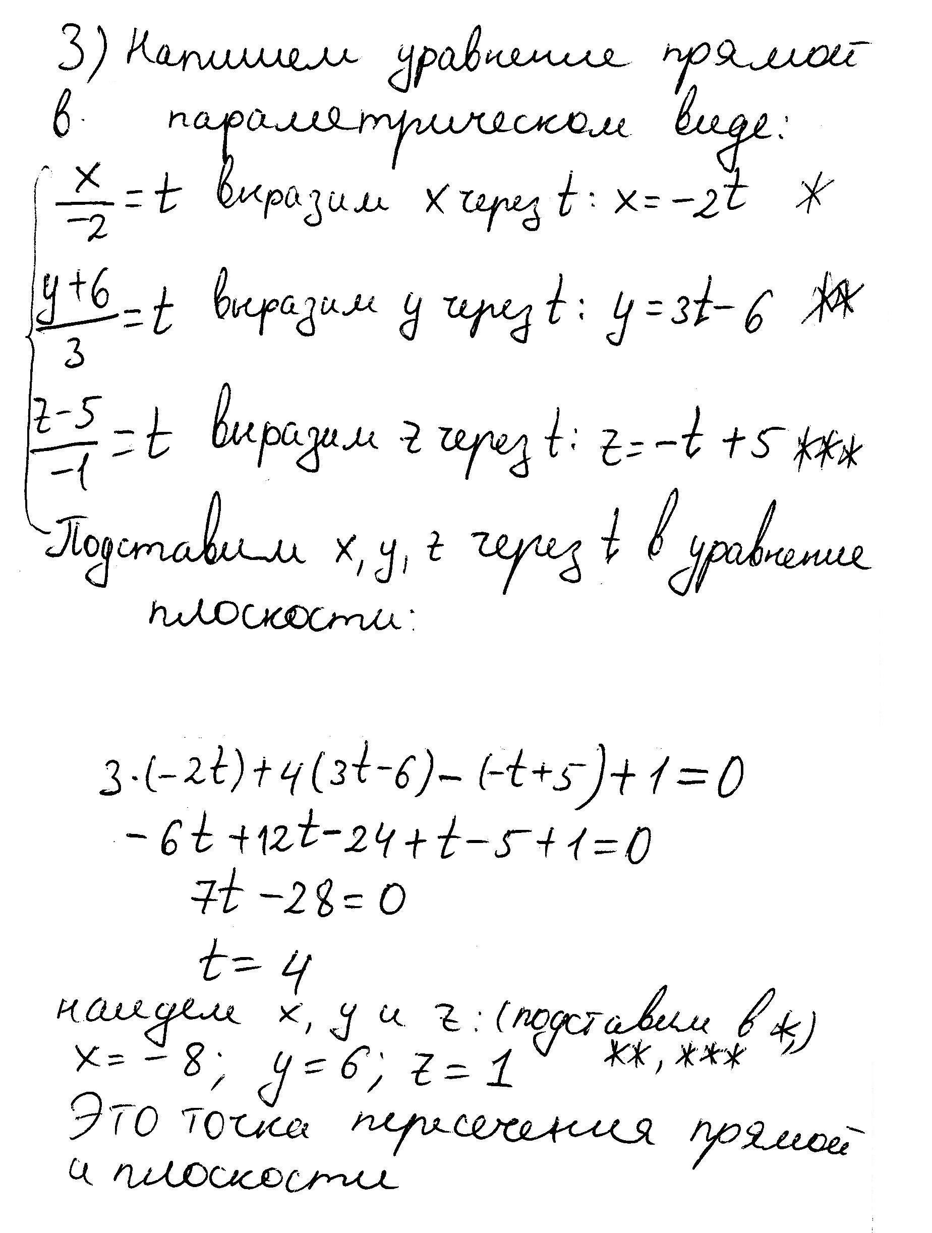
3) Найдите координаты точки пересечения прямой x/-2=y+6/3=z-5/-1 (каноническое уравнение) и плоскости 3x+4y-z+1=0
Ответы
Ответ дал:
0
Ответ:
1) кубических единиц.
2)
3) (-8; 6; 1)
Пошаговое объяснение:
Решение в приложении. Ответы какие есть. Ход решения верный, но может есть ошибки
Приложения:



Вас заинтересует
2 года назад
2 года назад
2 года назад
9 лет назад
9 лет назад