• Предмет: Алгебра
  • Автор: toki53
  • Вопрос задан 7 лет назад

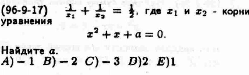
хелп!!!!решить задачу ​

Приложения:

Ответы

Ответ дал: Konstantin101216
1

Ответ:

В)-2

Объяснение:

Подставим вместо "а" каждый из вариантов ответа:

х²+х-1=0

d=√5

х=-0,5+√5/2 и х=-0,5-√5/2

При подстановке равенство не будет верным

х²+х-2=0

d=√9=3

х=-0,5+1.5=1 и х=-0,5-1.5=-2

1/1+1/-2=1/2

1-1/2=1/2 - верно, ответ В правильный

х²+х-3=0

d=√10

х=-0,5+√10/2 и х=-0,5-√10/2

При подстановке равенство не будет верным

х²+х+2=0

d отрицательный, корней нет

х²+х+1=0

d отрицательный, корней нет

Вас заинтересует