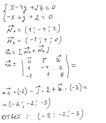
Как найти координаты направляющего вектора прямой?
Как найти координаты направляющего вектора прямой?
3x–5y+2z+1=0
и
Приложения:

Ответы
Ответ дал:
0
Ответ:
Пошаговое объяснение:
Приложения:

Вас заинтересует
2 года назад
2 года назад
8 лет назад
8 лет назад
9 лет назад
9 лет назад