Ответы
Ответ дал:
3
Ответ:
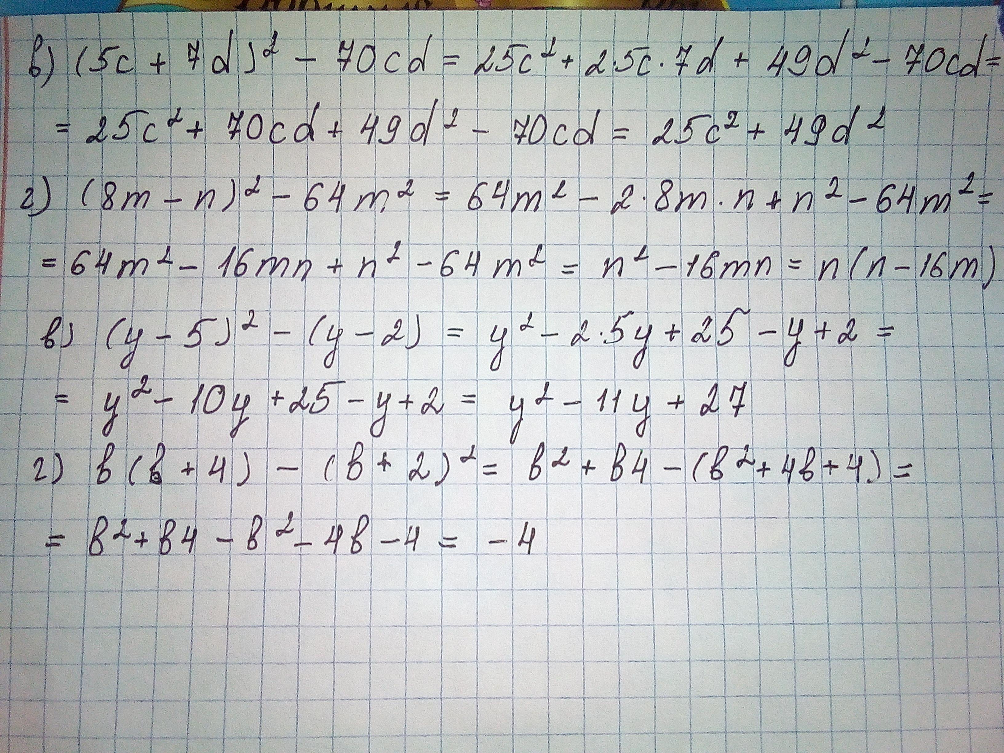
в) (5с+7d)^2-70cd=25c^2+70cd+49d^2-70cd=25c^2+49d^2=(5c+7d)*(5c+7d)
г)(8m-n)^2-64m^2=64m^2-16mn+n^2-64m^2=n^2-16mn=n(n-16m)
в)(y-5)^2-(y-2)=y^2-10y+25-y+2=y^2-11y+27
г)b(b+4)-(b+2)^2=b^2+4b-(b^2+4b+4)=b^2+4b-b^2-4b-4=-4
Объяснение:
(a+b)^2=a^2+2ab+b^2
(a-b)^2=a^2-2ab+b^2
Ответ дал:
0
Ответ: ______________
Приложения:

Вас заинтересует
2 года назад
8 лет назад
8 лет назад
9 лет назад
9 лет назад