• Предмет: Математика
  • Автор: tlalok540
  • Вопрос задан 7 лет назад

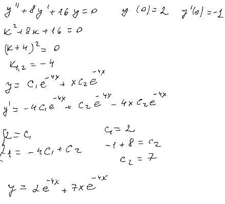
найти частное решение дифференциального уравнения удовлетворяющее заданным начальным условиям y''+8y'+16y=0; y(0)=2; y'(0)=-1

Ответы

Ответ дал: dashulka22222
1

Ответ:

Пошаговое объяснение:

Приложения:
Вас заинтересует