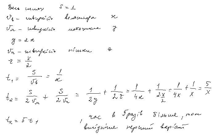
Що швидше – проїхати весь шлях на велосипеді або половину шляху подолати на мотоциклі, який рухається вдвічі швидше велосипеда, а другу половину – пройти пішки, що вдвічі повільніше, ніж їхати на велосипеді?
Ответы
Ответ дал:
1
Ответ:
перший варіант
Пошаговое объяснение:
Приложения:

Вас заинтересует
2 года назад
2 года назад
2 года назад
2 года назад
8 лет назад
9 лет назад