• Предмет: Математика
  • Автор: gikiy11542
  • Вопрос задан 7 лет назад

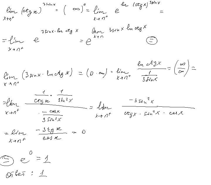
Найдите предел, используя правило Лопиталя. Пожалуйста решите. \lim_{x \to \pi + 0} (ctgx)^{3sinx}

Ответы

Ответ дал: dashulka22222
1

Ответ:

Пошаговое объяснение:

Приложения:
Вас заинтересует