Ответы
Ответ дал:
1
Ответ:
больше или равно 48
Объяснение:
во вложении
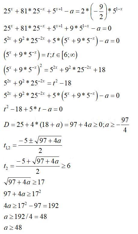
Приложения:
я не доказывал что t принимает значения не меньше 6
оставляю эту часть автору для подумать самостоятельно
если не получится - поясню в комментариях
оставляю эту часть автору для подумать самостоятельно
если не получится - поясню в комментариях
поясните, пожалуйста, почему так. Или дайте подсказку
если разделить t на 3 то получится выражение вида t/3= y+(1/y) где y=3*5^(x) > 0
если искать экстремум через производные то получим что минимум достигается при y=1. минимальное значение t/3_min=1+1/1=2
минимальное значение t_min=2*3=6
если искать экстремум через производные то получим что минимум достигается при y=1. минимальное значение t/3_min=1+1/1=2
минимальное значение t_min=2*3=6
спасибо большое<3
Вас заинтересует
2 года назад
2 года назад
3 года назад
3 года назад
8 лет назад
10 лет назад