• Предмет: Математика
  • Автор: aksenovasvetaaaaaaa7
  • Вопрос задан 7 лет назад

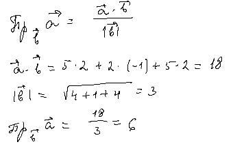
Вычислить проекцию вектора а на ось вектора в .

Приложения:

Ответы

Ответ дал: dashulka22222
1

Ответ:

Пошаговое объяснение:

Приложения:
Вас заинтересует