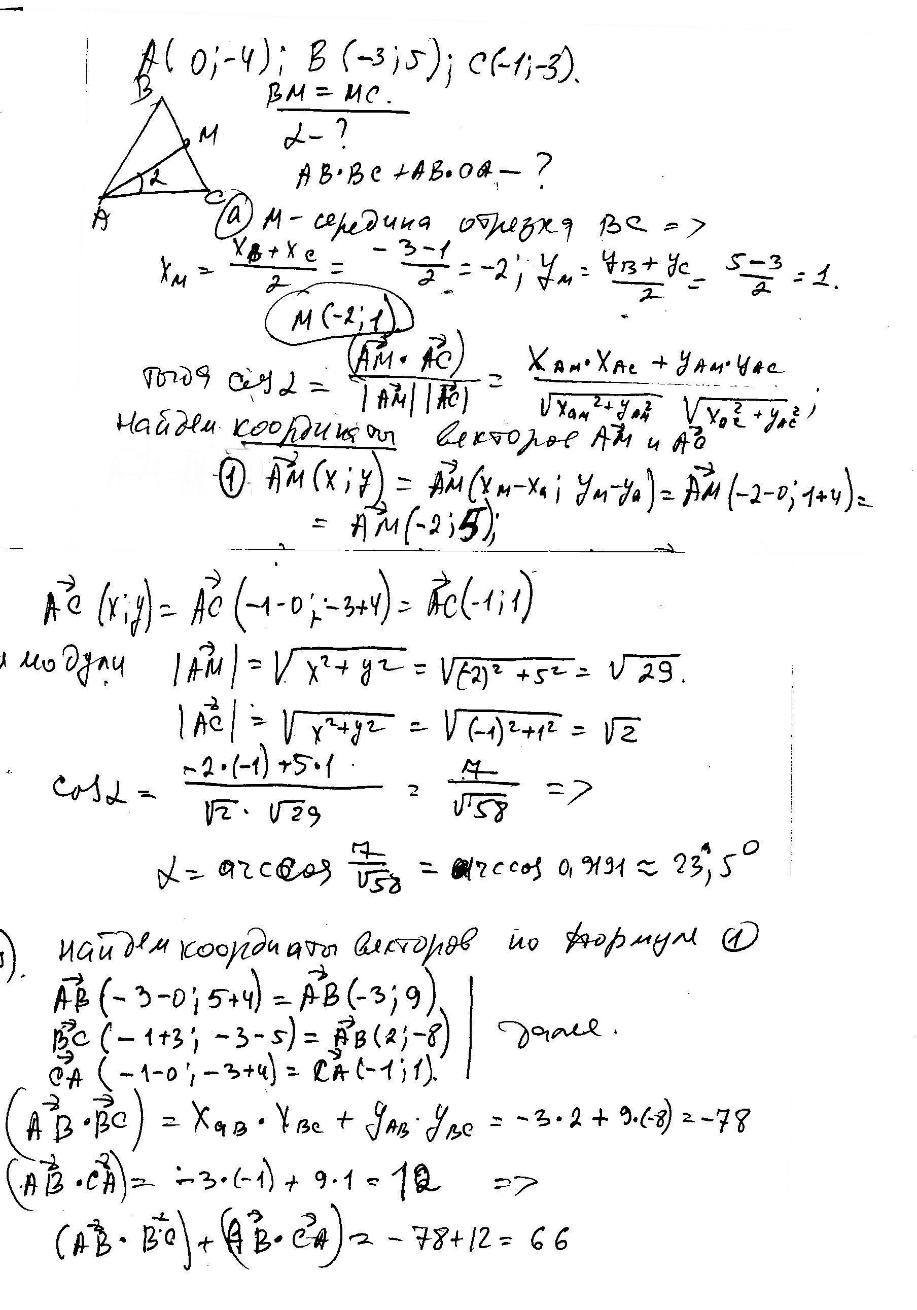
Треугольник abc задан координатами своих вершин А(0;-4), B(-3;5),C(-1;-3)
а) Найдите градусную меру острого угла между медианой AD и стороной AC
Вычислите AB*BC+AB*CA.
Ответы
Ответ дал:
0
Треугольник abc задан координатами своих вершин А(0;-4), B(-3;5),C(-1;-3)
а) Найдите градусную меру острого угла между медианой AD и стороной AC
Вычислите AB*BC+AB*CA.
а) Найдите градусную меру острого угла между медианой AD и стороной AC
Вычислите AB*BC+AB*CA.
Приложения:
Вас заинтересует
3 года назад
8 лет назад
8 лет назад
11 лет назад
11 лет назад