• Предмет: Математика
  • Автор: supertaskaeva2014
  • Вопрос задан 7 лет назад

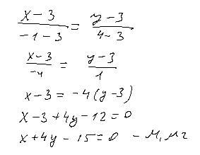
написать для прямойМ1М2 общее уравнение .еслиМ1(3,3)М2(-1,4)

Ответы

Ответ дал: dashulka22222
0

Ответ:

Пошаговое объяснение:

Приложения:
Вас заинтересует