• Предмет: Математика
  • Автор: АсатурянКарина
  • Вопрос задан 7 лет назад

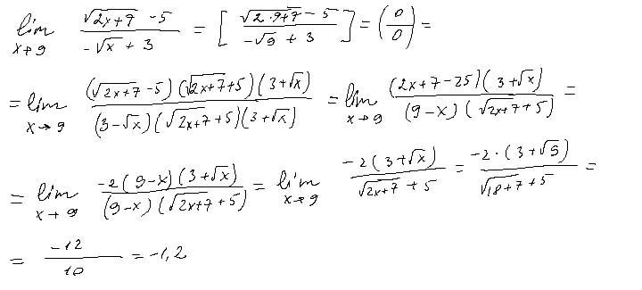
Lim x стремится к 9 ((корень из 2x+7) -5) / - (корень из x) + 3

Ответы

Ответ дал: dashulka22222
1

Ответ:

Пошаговое объяснение:

Приложения:

АсатурянКарина: у меня ответ 0
Вас заинтересует