• Предмет: Математика
  • Автор: zzz7322
  • Вопрос задан 7 лет назад

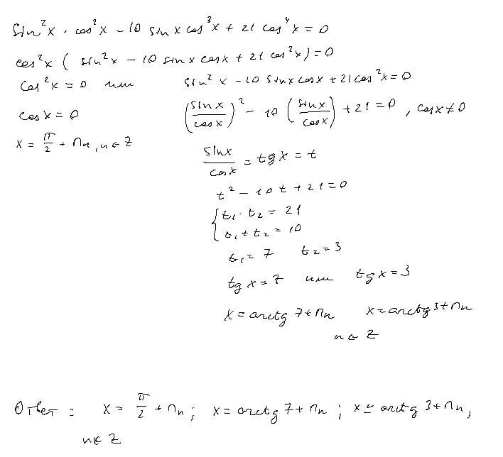
Решите пожалуйста уравнение

Приложения:

Ответы

Ответ дал: dashulka22222
0

Ответ:

Пошаговое объяснение:

Приложения:
Вас заинтересует