• Предмет: Алгебра
  • Автор: svecnikovanastusa
  • Вопрос задан 7 лет назад

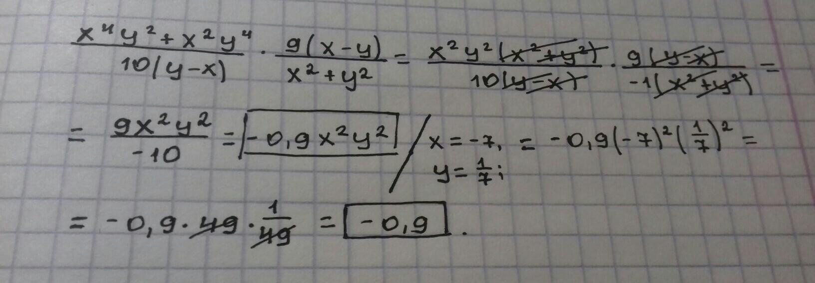
ПОМОГИТЕ ПОЖАЛУЙСТА С ЭТИМ ПРИМЕРОМ! 1!1!1!!1!1!1!1!1!1!

Приложения:

Ответы

Ответ дал: bertramjeratire
1

Ответ:

 \frac{ {x}^{2} {y}^{2}( {x}^{2} +  {y}^{2})}{10( - (x - y))}  \times  \frac{9(x - y)}{ {x}^{2}  +  {y}^{2} }  =  -  \frac{9 {x}^{2} {y}^{2}  }{10}

x =  - 7 \:  \:  \:  \:  \:  \:  \:  \: y =  \frac{1}{7}

 -  \frac{9 \times  {( - 7)}^{2} \times  {( \frac{1}{7}) }^{2}  }{10}  =  -  \frac{9 \times  { ( - 7)}^{2}  \times  {7}^{ - 2} }{10}  =  -  \frac{9}{10}=-0.9

Ответ дал: AmyWinnie
2

 \boxed{  \frak{ \underline{\huge  - 0.9}} }.

Приложения:
Вас заинтересует