• Предмет: Математика
  • Автор: rudenkoruslan1055
  • Вопрос задан 7 лет назад

Пожалуста зделайте дам 10 балов

Приложения:

Ответы

Ответ дал: acurich
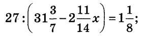
1

27:(220/(7) - 39x/14) = 9/8

27:((440-39x)/14) =9/8

27*(14)/(440-39x) = 9/8

378/(440-39x) =9/8

3024 = 9(440-39x)

336 = 440-39x

39x = 104

x = 8/3

x = 2,6

Вас заинтересует