• Предмет: Алгебра
  • Автор: ShustikovaAngelina
  • Вопрос задан 7 лет назад

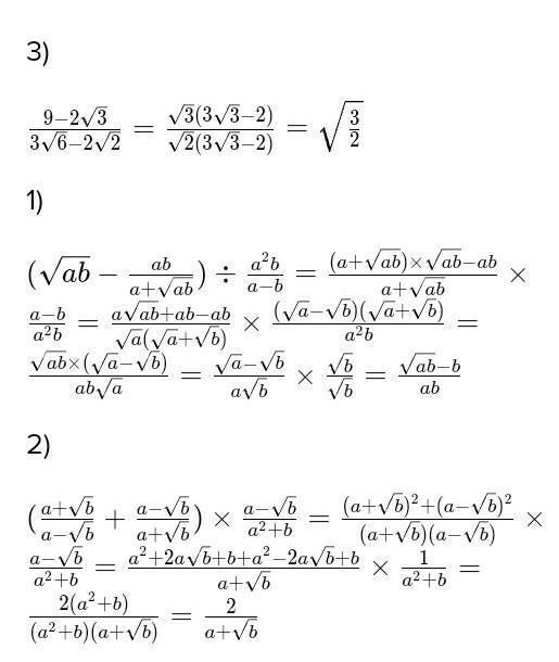
первую дробь: сократить
последние две дроби: упростить

Приложения:

Ответы

Ответ дал: abdullayevallayar141
0

На фото ᅠᅠᅠᅠᅠᅠᅠᅠᅠᅠᅠᅠᅠᅠ

Приложения:
Вас заинтересует