• Предмет: Математика
  • Автор: musafena
  • Вопрос задан 7 лет назад

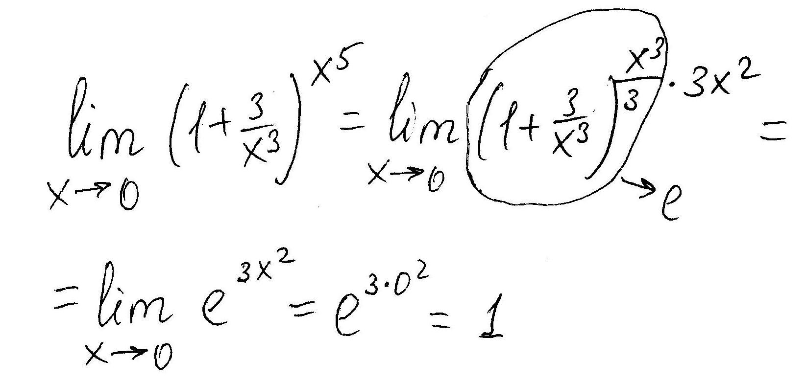
lim(1+3/xˆ3)ˆxˆ5 = ? (x стремится к нулю).


bearcab: будет единичка
musafena: спасибо

Ответы

Ответ дал: bearcab
0

Ответ:

1

Пошаговое объяснение:

Решение в приложении

Приложения:
Вас заинтересует