• Предмет: Математика
  • Автор: Аноним
  • Вопрос задан 7 лет назад

Виконайте будь ласка

Приложения:

Ответы

Ответ дал: Fire1ce
3

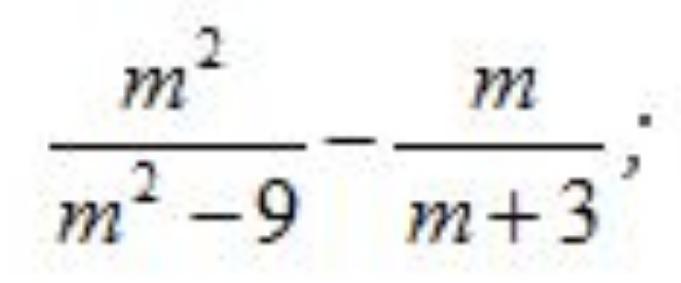
 \frac{ {m}^{2} }{ {m}^{2} - 9 }  -  \frac{m}{m + 3}

Распишем m²-9 по формуле a²-b²=(a-b)(a+b):

 \frac{ {m}^{2} }{(m - 3)(m + 3)}  -  \frac{m}{m + 3}

Возведём к общему знаменателю:

 \frac{ {m}^{2} }{(m - 3)(m + 3)}  -  \frac{m(m - 3)}{(m  - 3)(m + 3)}   = \\  \\  = \frac{ {m}^{2} - ( {m}^{2} - 3m)  }{(m  - 3)(m + 3)}  = \\  =  \frac{ {m}^{2} - {m}^{2}  +  3m  }{(m  - 3)(m + 3)}     = \frac{3m}{ {m}^{2}  - 9}

Ответ: (3m)/(m²-9)


versachexdior: ЛУЧШИЙ!
Fire1ce: Спаасиибо))
Ответ дал: Аноним
0

Ответ:3m/(m²-3²)

Пошаговое объяснение:

общий знаменатель m²-3²=(m-3)(m+3)

приведем к ОЗ дроби

(m²-(m-3)*m)/((m-3)(m+3))=(m²-m²+3*m)/((m-3)(m+3))=3m/(m²-3²)

Вас заинтересует