• Предмет: Математика
  • Автор: Аноним
  • Вопрос задан 7 лет назад

Можете пропускать некоторые задания. Спасибо большое​

Приложения:

Ответы

Ответ дал: AmyWinnie
7

 \boxed{ \bf \huge \: attached \:  \: files}.

Приложения:

Аноним: Спасибо большое!
Ответ дал: Пеппер
3

Пошаговое объяснение:

1) -323+(-787)+(-939)+(-1001)=-323-787-939-1001=-3050

3) (-х-813)+697=88;  -х=88-697+813; х=-204

4) -97+(-205)-(306-(-919))=-302-(306-919)=-302-306-919=-1527

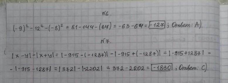
6) (-9)²-12²-(-8)²=81-144-64=-127.


Аноним: спасибо большое!
Вас заинтересует