• Предмет: Математика
  • Автор: Linda473
  • Вопрос задан 7 лет назад

Помогите прошу,срочно!!!!

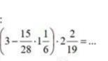
Приложения:

Ответы

Ответ дал: Robloxtw
1

Ответ:

5

Пошаговое объяснение:

15/28*1 1/6=5/8

3-5/8=2 3/8

2 3/8*2 2/19=5

Ответ дал: jekadva
0

Ответ:

5

Пошаговое объяснение:

1) 15/28 * 1 1/6 = 15/28 * 7/6 = 5/8

2) 3 - 5/8 = 2 3/8

3) 2 3/8 * 2 2/19 = 19/8 * 40/19 = 5

Вас заинтересует