• Предмет: Алгебра
  • Автор: Suxiiie
  • Вопрос задан 7 лет назад

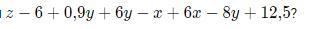
Какие слагаемые являются подобными в выражении

Приложения:

Ответы

Ответ дал: Rigel7
0

Ответ:

Первая группа подобных слагаемых: -6 и 12,5

Вторая группа подобных слагаемых: 0,9у; 6у; -8у

Третья группа подобных слагаемых: -х и 6х

Ответ дал: Аноним
0

подобные - это те, которые имеют общую буквенную часть. числа заведомо подобные.

значит.

а)-6 ;12.5,

а также б) 0.9у; 6у и 8у,

а также  в) -х; 6х

Вас заинтересует