• Предмет: Математика
  • Автор: mariakaumova15
  • Вопрос задан 7 лет назад

5-ый номер с самого верха. Пожалуйста, очень надо! Отмечу как лучшего того кто первый ответит

Приложения:

Ответы

Ответ дал: tamarabernukho
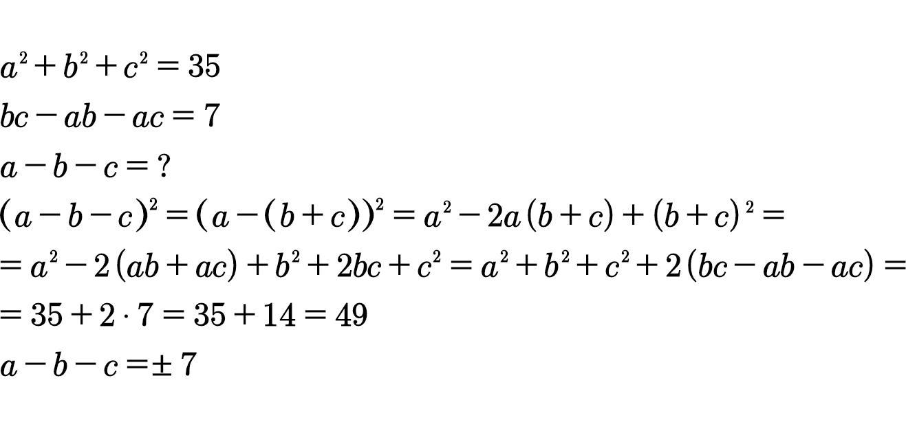
1

Ответ:

Пошаговое объяснение:

...........................

Приложения:
Вас заинтересует