• Предмет: Математика
  • Автор: denissro
  • Вопрос задан 7 лет назад

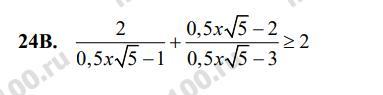
Помогите решить рациональное неравенство!!

Приложения:

Ответы

Ответ дал: Klick
0

Ответ: \left(\dfrac{2}{\sqrt5}; \dfrac{4}{\sqrt5} \right] \cup \left(\dfrac{6}{\sqrt5}; 2\sqrt5\right]

Пошаговое объяснение:

t=0.5x\sqrt5-2\\\dfrac{2}{t+1}+\dfrac{t}{t-1}\geqslant 2\\\dfrac{2t-2+t^2+t-2t^2+2}{t^2-1}\geqslant 0\\\dfrac{t(3-t)}{(t-1)(t+1)}\geqslant 0\\t \in (-1; 0] \cup (1; 3]\\0.5x\sqrt5-2 \in (-1; 0] \cup (1; 3]\\0.5x\sqrt5 \in (1; 2] \cup (3; 5]\\x\sqrt5 \in (2; 4] \cup (6; 10]\\x\in \left(\dfrac{2}{\sqrt5}; \dfrac{4}{\sqrt5} \right] \cup \left(\dfrac{6}{\sqrt5}; 2\sqrt5\right]

Вас заинтересует