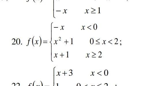
Исследовать функцию на непрерывность и построить график (Высшая математика) номер 20
Приложения:

Ответы
Ответ дал:
0
Ответ: скачок - скачок
Объяснение:
детали во вложении, выколотая точка обозначена пустой.
Приложения:

Вас заинтересует
2 года назад
2 года назад
8 лет назад
8 лет назад
9 лет назад