Ответы
Ответ дал:
0
файл
========================
Приложения:

Ответ дал:
0
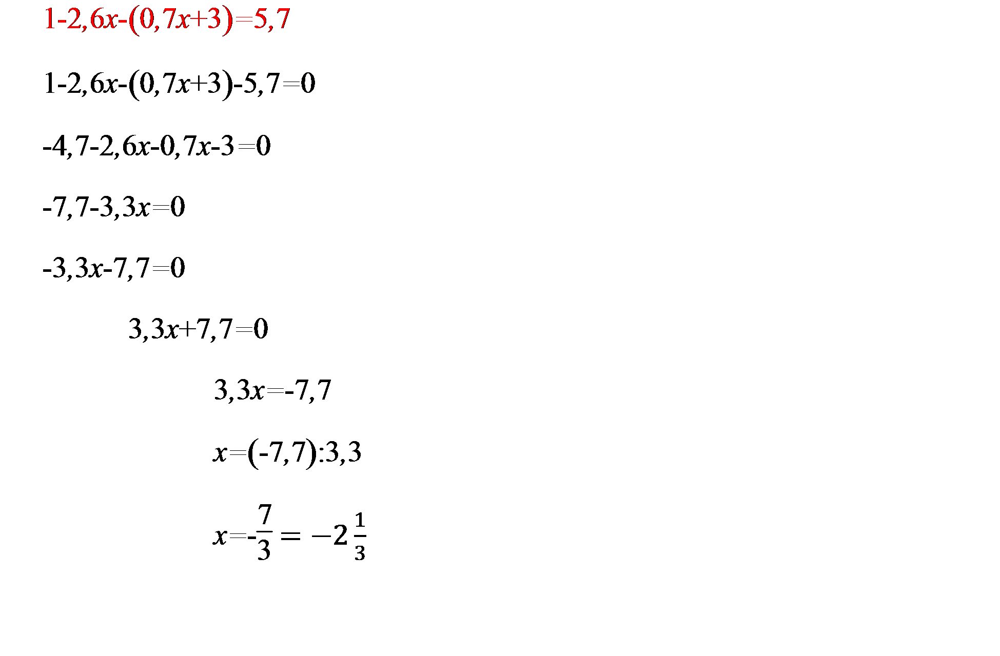
1-2,6х-0,7х-3=5,7
-3,3х=5,7+3-1
-3,3х=7,7
х=7,7:(-3,3)
х=-77/33
х=-7/3
х=-2целых1/3
Приложения:

Вас заинтересует
2 года назад
2 года назад
8 лет назад
10 лет назад
10 лет назад