Ответы
Ответ дал:
0
Ответ:
Объяснение:
нужно умножить каждый член 1 скобки на каждый член второй скобки
если будут вопросы, отвечу в комментариях
Ответ дал:
0
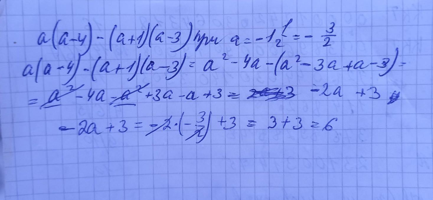
вложение фото решения и ответа.
Приложения:


Вас заинтересует
2 года назад
2 года назад
2 года назад
8 лет назад
8 лет назад
9 лет назад