• Предмет: Математика
  • Автор: АйсельЭминСафаровы
  • Вопрос задан 10 лет назад

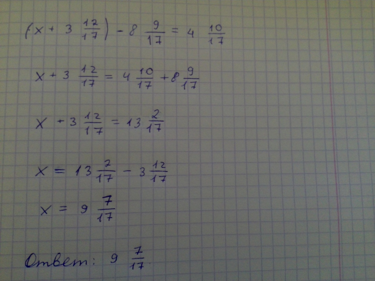
Решить уравнение
( х + 3  12/17 ) – 8  9/17 = 4  10/17

Ответы

Ответ дал: qweasdzx12309
0
х+3 12/17 =4 10/17+8 9/17
х+3 12/17 =12 19/17
х=12 19/17 - 3 12/17
х= 9 7/17
Ответ дал: НастенькаСмойленко
0
Решение уравнения во вложениях на фото.
Приложения:
Ответ дал: qweasdzx12309
0
у меня фото не показывает
Ответ дал: НастенькаСмойленко
0
У меня показывает
Ответ дал: qweasdzx12309
0
теперь у меня тоже)
Вас заинтересует