ПОЖАЛУЙСТА ПОМОГИТЕ УМОЛЯЮ
Приложения:

matazmaking38:
другие варианты не вместились
Ответы
Ответ дал:
2
Приложения:

Ответ дал:
0
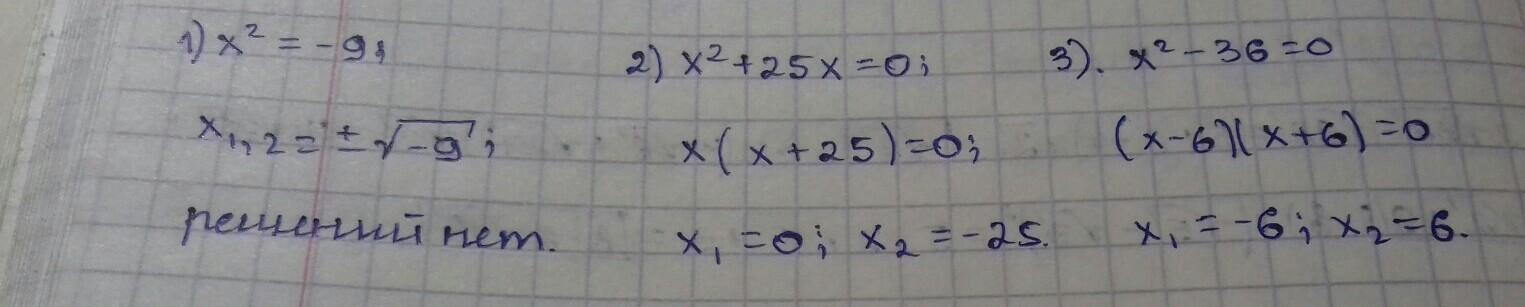
1 не разлагается на множители, т.к. х²≥0, корней нет.
2.х*(х+25)=0; х=0; х=-25
3. (х-6)(х+6)=0, х=6; х=-6; х=6
Вас заинтересует
2 года назад
2 года назад
2 года назад
8 лет назад
8 лет назад
9 лет назад