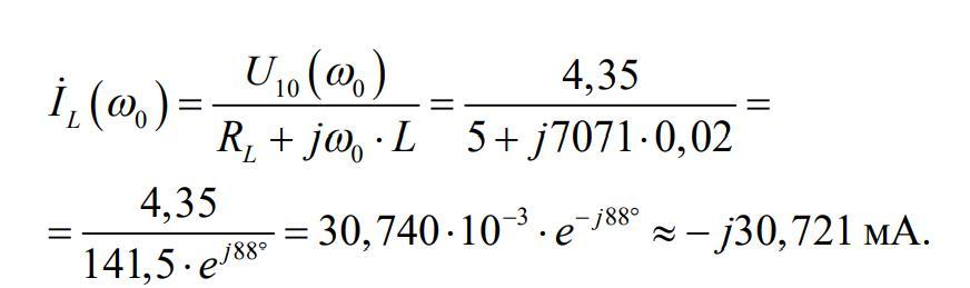
Помогите пожалуйста. Радиотехника. Я понял что j это мнимое число и равно е^j90° но почему там е^j88° я не понимаю помогите прошу .
Приложения:

Ответы
Ответ дал:
1
Ответ:
потому что гладиолус
Объяснение:
во вложении
Приложения:

starasyk89:
Хороший гладиолус. Но я уже сам это понял))
Вас заинтересует
2 года назад
2 года назад
8 лет назад
9 лет назад