• Предмет: Алгебра
  • Автор: zaka6060
  • Вопрос задан 7 лет назад

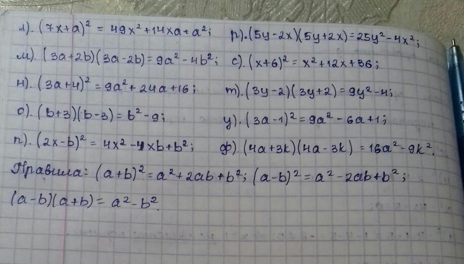
Преобразовать
л. (7х + а)2;
м. (3a + 2b) (3a – 2b)
н. (3a + 4)2;
о. (b + 3) (b – 3);
п. (2x – b)2;
р. (5y – 2x) (5y + 2x)
с. (х + 6)2;
т. (3y – 2) (3y + 2);
у. (3а – 1)2;
ф.(4а + 3k) (4а – 3k)

Ответы

Ответ дал: AmyWinnie
3

\boxed{ \underline{ \overline{ \huge \it attached \:  \: file}}}.

Приложения:
Вас заинтересует