Ответы
Ответ дал:
1
Ответ:
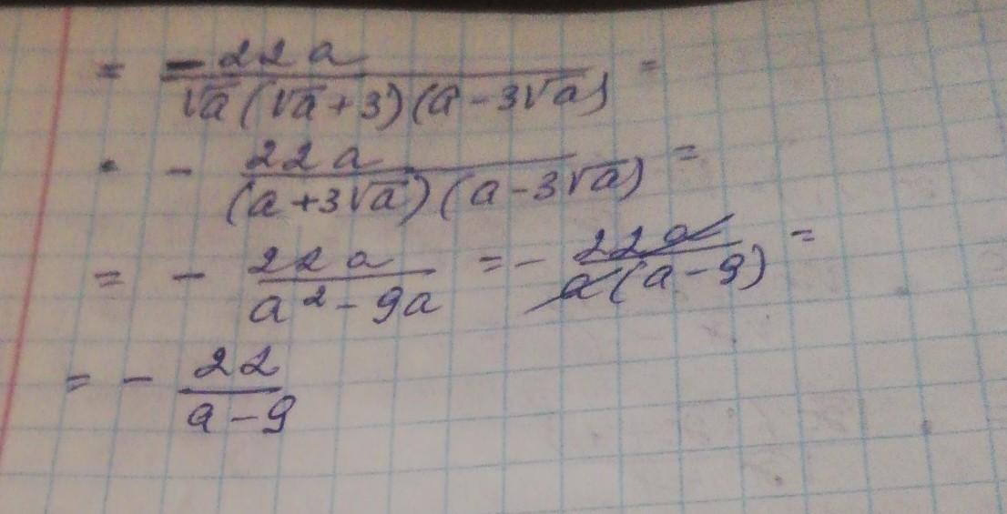
Смотри решение на фото...
Приложения:



Вас заинтересует
2 года назад
2 года назад
2 года назад