• Предмет: Алгебра
  • Автор: masha01021
  • Вопрос задан 7 лет назад

Помогите пожалуйста, решить о​

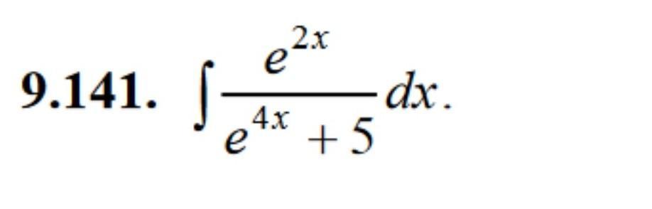
Приложения:

Ответы

Ответ дал: NNNLLL54
1

Ответ:

Метод подведение под знак дифференциала ( можно заменой, заменяя ту функцию , от которой выделили дифференциал, на новую переменную, например, u ) .

\displaystyle \int \frac{e^{2x}}{e^{4x}+5}\, dx=\int \frac{e^{2x}\, dx}{(e^{2x})^2+5}=\frac{1}{2}\int \frac{2e^{2x}\, dx}{(e^{2x})^2+5}=\frac{1}{2}\int \frac{d(e^{2x})}{(e^{2x})^2+(\sqrt{5})^2}=\\\\\\=\frac{1}{2}\cdot \frac{1}{\sqrt5}\cdot arctg\frac{e^{2x}}{\sqrt5}+C\\\\\\\\\star \ \ \int \frac{du}{u^2+a^2}=\frac{1}{a}\cdot arctg\frac{u}{a}+C\ \ \star


masha01021: спасибо большое
masha01021: можете еще помочь если вы свабодна
Вас заинтересует