Ответы
Ответ дал:
0
Ответ:
Прикрепил два фото(листайте вправо)
Пошаговое объяснение:
/- это дробь
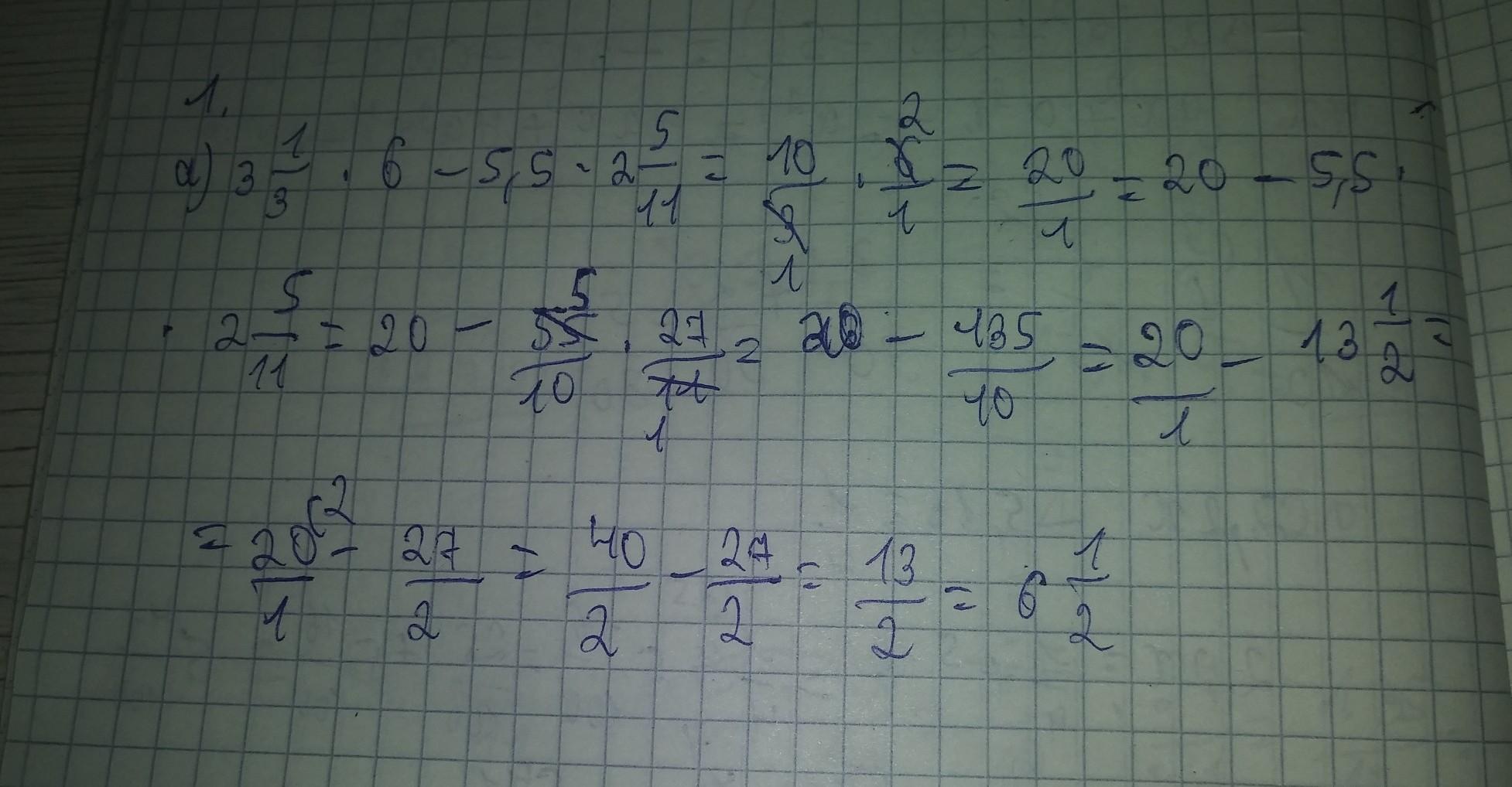
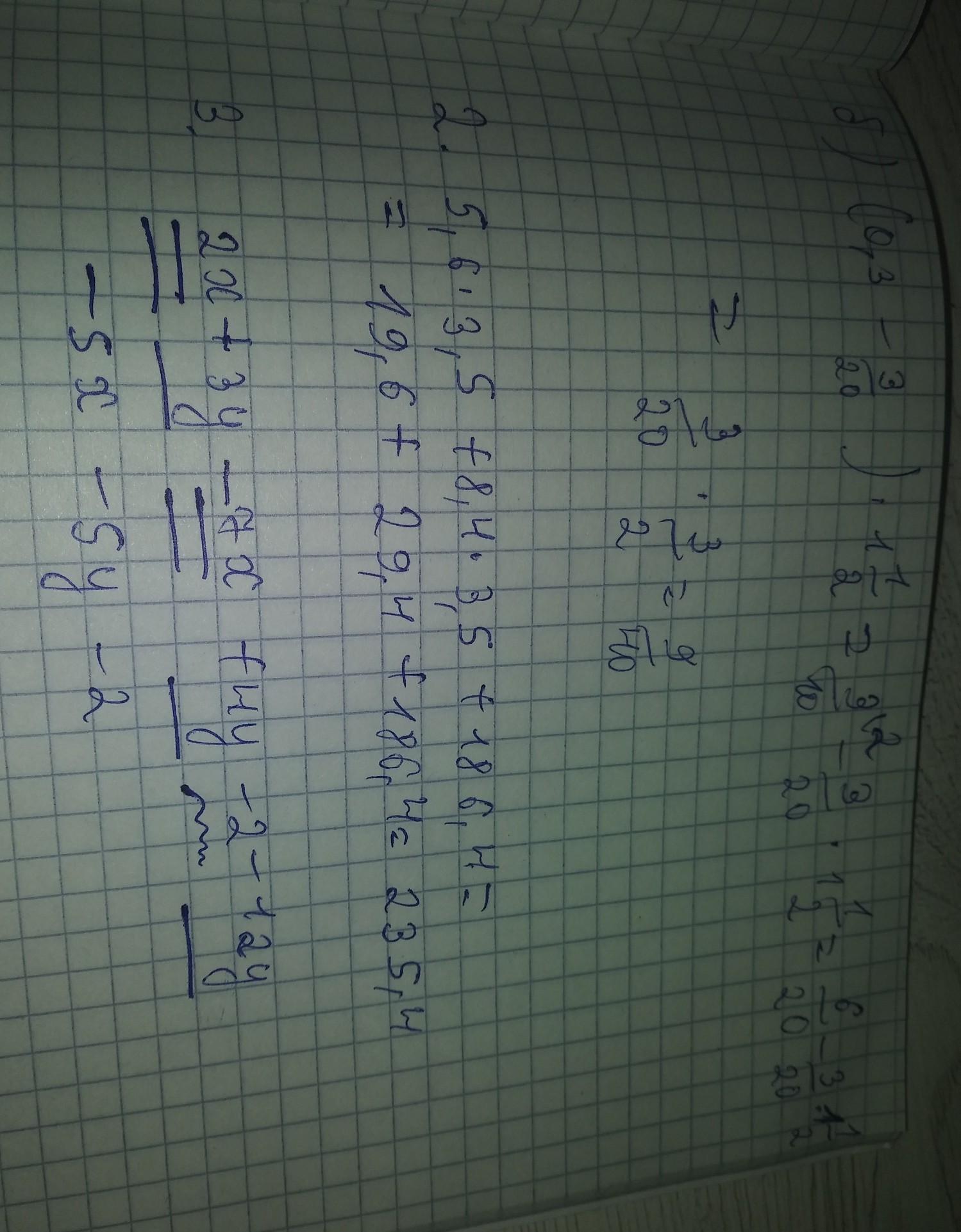
1 задание дроби, ответы:
а)6 1/2
б)9/40
2 задание:
После подставления значения а при 3,5,умножаете и далее складываете результаты, ответ:
235,4
3 задание:
1)2x-7x
2)3y+4y-12y=7y-12y=-5y
3)-2
В итоге:
-5x-5y-2
Приложения:


Pochetnuygramotey:
спасибо большое
Вас заинтересует
2 года назад
2 года назад
2 года назад
8 лет назад
8 лет назад
9 лет назад