преобразовать в многочлен СРОЧНО!!!!!
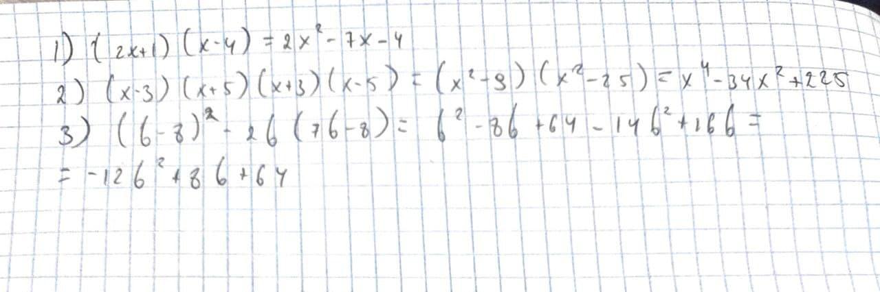
1) (2x+1)*(x-4);
2) (x-3)*(x+5)*(x+3)*(x-5);
3) (b-8)²-2b*(7b-8)
Ответы
Ответ дал:
1
Ответ:
Объяснение:
Решение на фотке
Приложения:

Вас заинтересует
2 года назад
2 года назад
2 года назад
8 лет назад
8 лет назад
9 лет назад
9 лет назад