Ответы
Ответ дал:
0
Ответ:
1. (5;-2) (2;-5)
2. (17;12) (-2;-7)
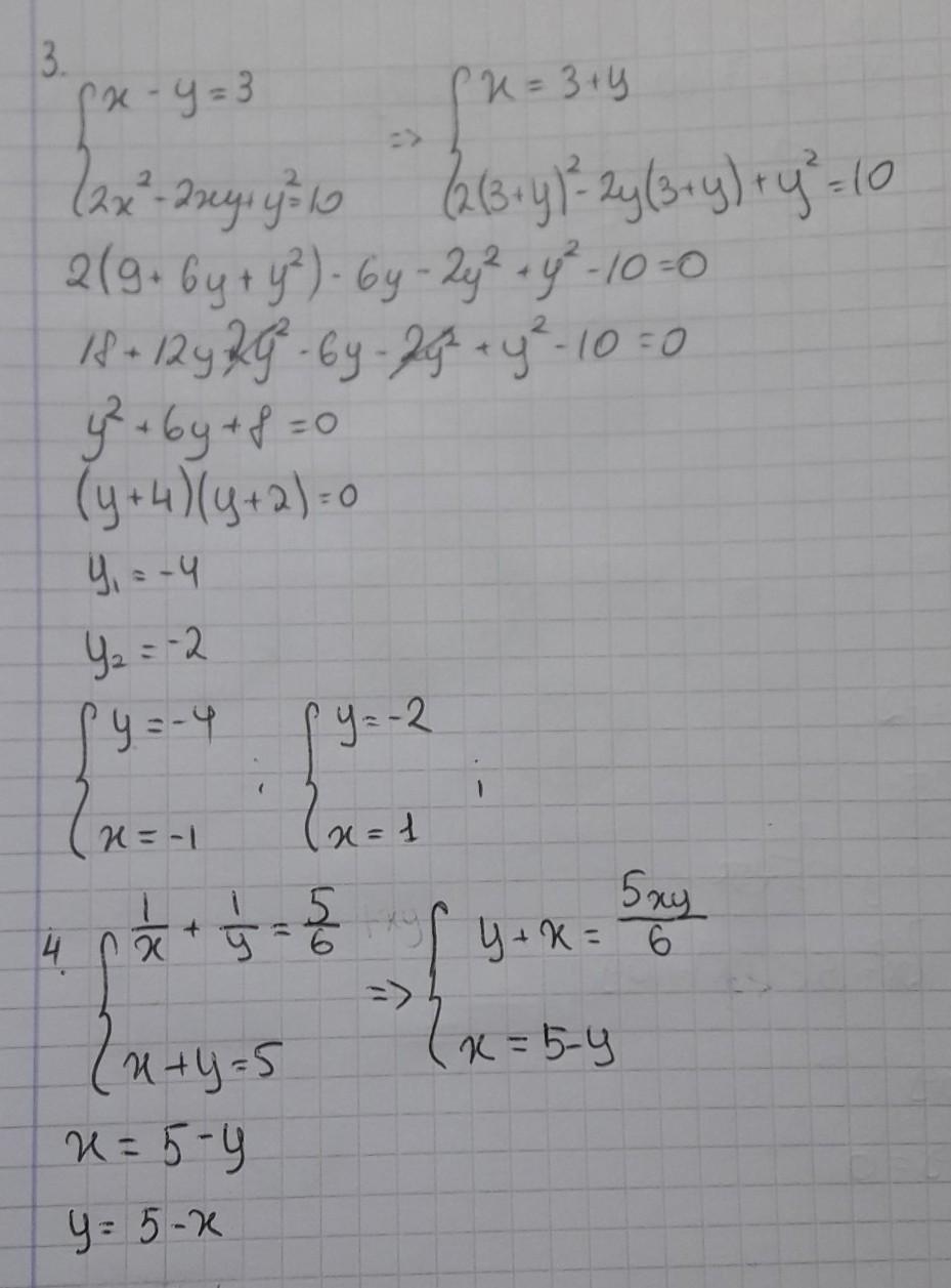
3. (-1;-4) (1;-2)
4.(3;2) (2;3)
Объяснение:
каждая из систем решается постановкой.
Приложения:


Ответ дал:
0
Ответ:
на фото
Объяснение:
Приложения:



Вас заинтересует
2 года назад
2 года назад
2 года назад
8 лет назад
9 лет назад
9 лет назад