Ответы
Ответ дал:
1
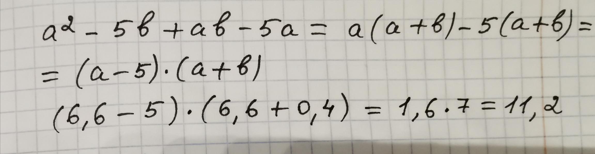
Ответ: Решение в прикрепленном файле.
Пошаговое объяснение:
Приложения:

irkalaz1976:
спасибо
Ответ дал:
0
а² + аb - 5а - 5b = а * (а + b) -5 * (а + b) = (а + b) * (а - 5). Если a = 6,6, b = 0,4 то (а + b) * (а - 5) = (6,6 + 0,4) * (6,6 - 5) = 7 * 1,6 = 11,2. Ответ: 11,2;
Вас заинтересует
2 года назад
2 года назад
2 года назад
8 лет назад
8 лет назад
9 лет назад