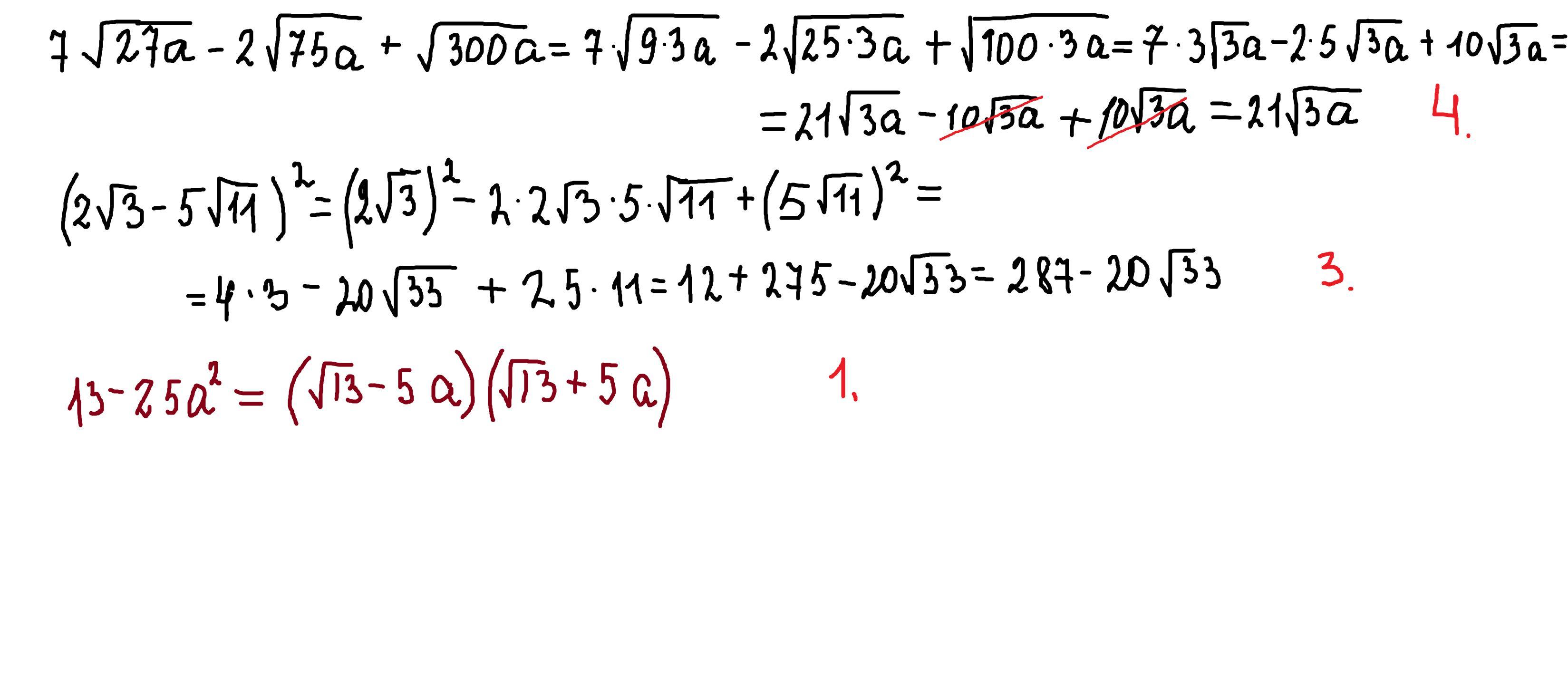
50 БАЛЛОВ! СРОЧНО, ПОМОГИТЕ ПОЖАЛУЙСТА С ПОДРОБНЫМ РЕШЕНИЕМ ВСЕ ЗАДАНИЯ (И ТЕСТОВЫЕ)
Приложения:

Ответы
Ответ дал:
1
Ответ:
Объяснение:
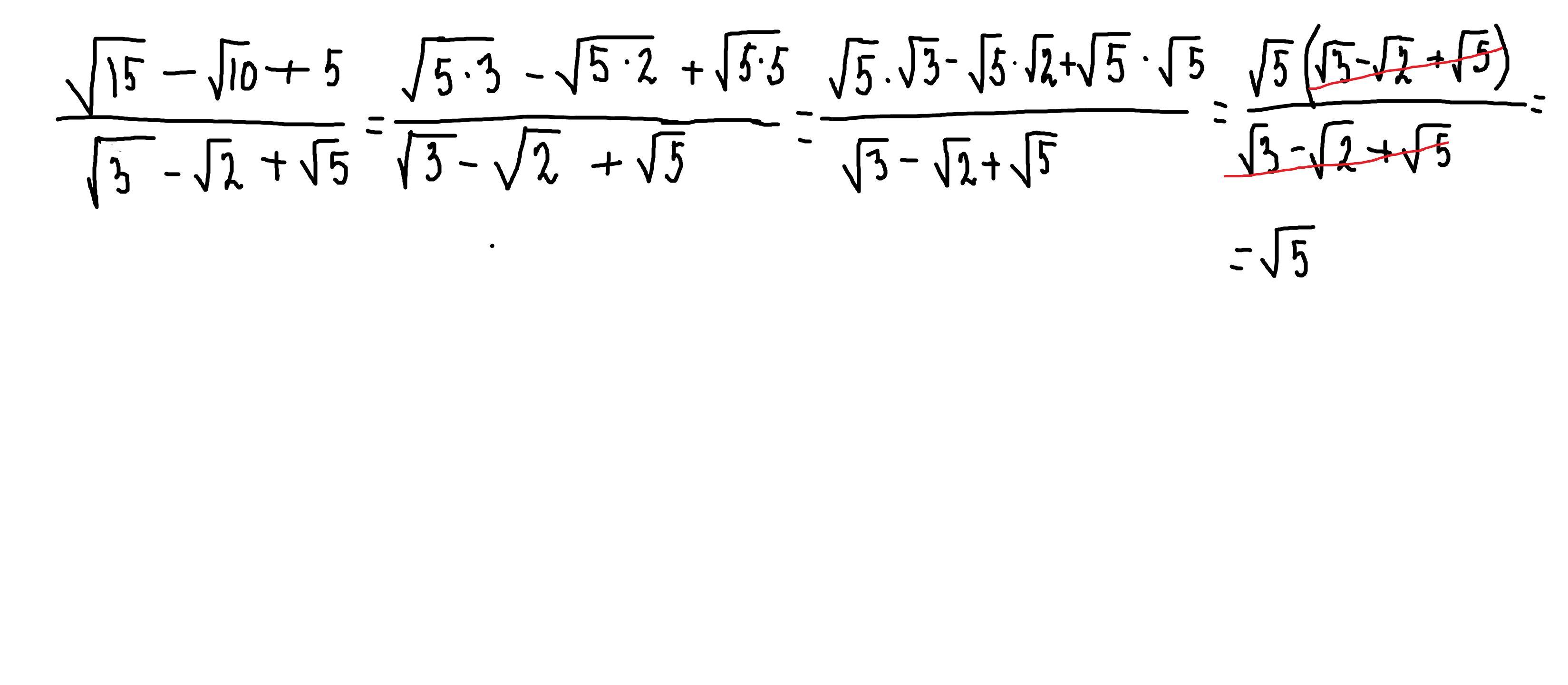
решение внизу
Приложения:


gghgdtdfd:
Господи, ты мой спаситель
Вас заинтересует
2 года назад
2 года назад
2 года назад
8 лет назад
9 лет назад