• Предмет: Алгебра
  • Автор: serxio561
  • Вопрос задан 7 лет назад

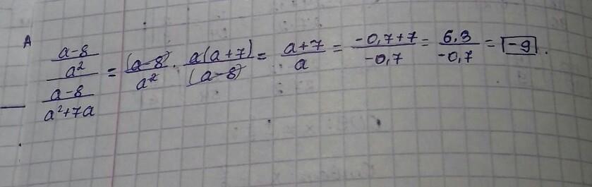
а-8/а^2:а-8/а^2+7а при а=-0,7 сколько будет

Ответы

Ответ дал: AmyWinnie
1

 \boxed{  \frak{\huge - 9}} .

Приложения:
Вас заинтересует