• Предмет: Алгебра
  • Автор: listasic57
  • Вопрос задан 7 лет назад

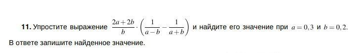
СРОЧНО ПОМОГИТЕ!!!! АЛГЕБРА....​

Приложения:

Ответы

Ответ дал: hot986
2

Написал все на листочке, если помог, то назначь пожалуйста мой ответ лучшим)

Приложения:
Ответ дал: anastasiagorsenina1
1

Объяснение:

вот надеюсь понятно

ответ: 4/a-b

полное решение на фото

Приложения:
Вас заинтересует