• Предмет: Алгебра
  • Автор: Ivan202221
  • Вопрос задан 7 лет назад

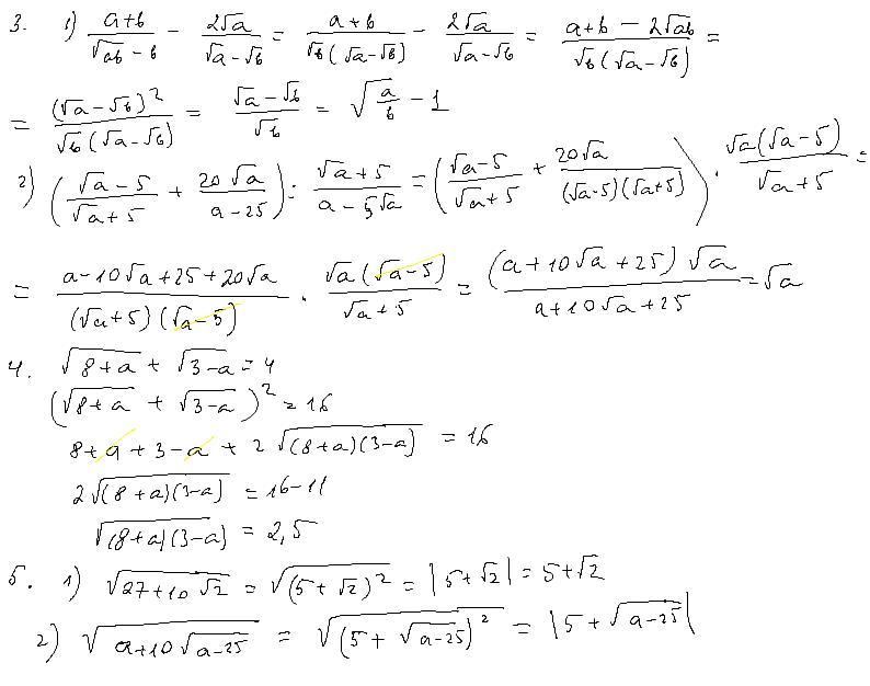
Решите пожалуйста 3-5 задание буду очень благодарен пожалуйста ​

Приложения:

Ответы

Ответ дал: dashulka22222
1

Ответ:

на листке

Объяснение:

Приложения:

Ivan202221: спасибо
Вас заинтересует