• Предмет: Математика
  • Автор: andrey123andrey2778
  • Вопрос задан 7 лет назад

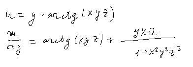
помогите пожалуйста с математикой

Приложения:

Ответы

Ответ дал: dashulka22222
0

Ответ:

4

Пошаговое объяснение:

Приложения:
Вас заинтересует